
“上次量身高是半年前,这半年怎么好像没怎么长?” 悄悄比较孩子和同龄人的身高,是许多父母心照不宣的习惯。
看着墙上一年年变高的标记,一个既期待又忐忑的问题总会浮上心头:孩子的身高,到底到什么时候就“定了”?我是不是已经错过了最后的助力机会?
作为儿科医生,我想告诉您:身高增长确实像一场有终点的赛跑,但冲过终点线之前,孩子会给出清晰的“减速信号”,而识别这些信号,并在关键的冲刺阶段科学助力,正是父母能为孩子成年身高所做的最后的努力。
孩子到底几岁会停止长高?
身高增长并不是在某一天突然停止的,而是一个逐渐减速直至骨骺线完全闭合的过程。也就是说,身高增长的终点并不是固定年龄,而是由骨龄决定的。这个过程虽然有个体差异,但还是会看到一些普遍规律的。
身高增长的本质是长骨(如大腿骨、小腿骨)两端“骨骺”的软骨细胞不断分裂、骨化。这块软骨在X光片上显示为一条透亮的“线”,即骨骺线。当骨骺线完全骨化、闭合,身高增长就基本停止了。

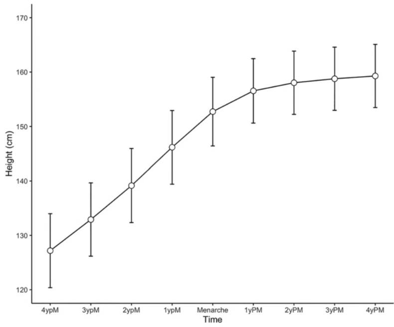
女孩的身高猛长期通常是在月经初潮之前的1-2年,这是青春期生长加速的关键阶段。
根据首都儿研所的一项调研数据显示,虽然女孩初潮的生理年龄跨度较大,但初潮时的骨龄均在12~13岁左右,平均骨龄为12.4岁。而初潮后,身高增长会呈现明确的递减趋势:
初潮后第1-2年:生长速度明显放缓,但仍在持续增长。
初潮后第3-4年:生长更加缓慢,增量有限。
初潮约4年后:身高增长基本停止,骨骺线趋于闭合(生理年龄15-17岁左右)。
月经初潮之后还能长多少呢?
传统内分泌学观点认为女孩初潮后的身高增长平均约5-7.5 cm,但近些年也有部分研究结果提示月经初潮后身高增长量存在较大的个体差异,可能波动于0.2-31.1cm(对于这个结论目前还有争议),这主要受遗传、营养、初潮早晚(骨龄)等因素影响。
虽然具体增量因人而异,但生长模式是明确的:即初潮后生长潜力迅速缩减,绝大多数增长在2年内完成,4年后基本定型。

↑不同年龄初潮的女童初潮后剩余的生长潜力

↑初潮前后4年的身高变化趋势
男孩的青春期启动较晚,猛长期也较女孩开始得晚,一般在变声前后,结束的自然也稍晚。通常男性骨骺闭合的骨龄中位数为18岁,范围在16-20岁。手腕部骨骺(如桡骨远端)通常在骨龄14-16岁开始闭合,而下肢骨骺(如股骨)可能延续至骨龄18-20岁。
受遗传、营养、激素水平、整体健康状况等的影响,此时的实际年龄有所不同,实际年龄在15-18岁都有可能。当骨骺线完全闭合,身高停止增长。
整体也是遵循“启动-猛增-减速-停止”的规律。
南京医科大学的一项10年追踪调研显示:中国男孩变声的平均生理年龄约为13.25岁,喉结、阴毛约为13.45岁,首次遗精在13-15岁。
在变声、长胡须之后1-2年,生长速度开始显著减速。首次遗精后,身高虽然仍会继续增长,通常还有5-10cm的潜力,但增长已进入最后阶段。
当男孩第二性征(胡须、体毛、喉结)已发育成熟,且身高年增长持续低于2cm时,预示身高生长结束。

怎么判断孩子是否要停止生长了?
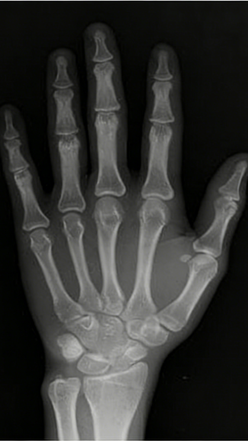
核心指标:骨龄检测(金标准)
通过拍摄左手腕骨 X 光片,观察骨骺闭合状态是最准确的判断方式。
如果 X 光片显示骨骺线未闭合,说明仍有生长潜力;若已完全闭合,则身高基本定型。即使孩子实际年龄较小,但骨龄超前且接近闭合,生长空间也会受限。


图注:左图,骨骺未闭合;右图:骨骺已闭合
直观信号:生长速度监测
正常生长速度有明确标准,家长需定期准确测量身高记录生长曲线(每 3-6 个月测量一次)。

青春期的孩子若连续半年至一年,身高增长不足 1 cm,或比上述生长缓慢的标准还要更明显的慢,可能提示生长即将停止,需评估生长发育状态是否正常,必要时检查评估排查原因。
辅助参考:第二性征发育状态
第二性征成熟往往伴随生长高峰结束:
女孩:乳房发育完全、月经规律、阴毛腋毛长齐。
男孩:喉结突出、声音稳定、体毛浓密、遗精
当这些特征出现且生长速度明显放缓,通常意味着距离停止长高不远了。
什么情况需要就医,有可能要干预?
如果孩子出现以下情况,建议尽早到儿童内分泌科或生长发育专科就诊,通过骨龄检测、激素水平检查明确原因:
⚠️警示情况
女孩 7.5 岁前、男孩 9 岁前出现第二性征;女孩10岁前初潮;提示性早熟。
女孩13岁、男孩14岁没有出现第二性征提示性发育延迟。
每年身高增长低于上述标准,且调整生活方式后无改善。
身高明显落后于同年龄、同性别儿童(低于标准身高第 3 百分位或-2SD)。
超重、肥胖、皮肤紫纹或色素沉着、多毛、体重骤降(不改变饮食和运动的情况下年长儿半年内体重减轻超过10%)等。
总而言之,孩子的身高增长并非在某个生日突然按下停止键,而是一场始于青春期、终于骨骺线闭合的有序旅程。
判断这场旅程是否接近尾声,第二性征的成熟、生长速度的显著下降是两个重要的信号,而拍摄骨龄片则是评估剩余生长潜力的科学标尺。
那么,当我们通过观察发育迹象或骨龄片,意识到孩子的身高增长即将进入收官阶段时,问题也随之而来:这是否意味着我们只能被动等待?
答案恰恰相反。骨骺线闭合前的这段“黄金窗口期”,正是通过科学干预,帮助孩子最大化其遗传潜力的最后机会。
具体可以从哪些方面着手,才能为孩子的最终身高提供最有效的支持呢?我们将在下一篇文章中,为您提供详尽、循证的行动指南。
审稿专家 祝婕
卓正儿科、儿童保健科、儿童生长发育专科医生
华中科技大学同济医学院硕士
嘉旺网-嘉旺网官网-民间配资-正规配资公司提示:文章来自网络,不代表本站观点。